Dr. J's Maths.com
Where the techniques of Maths
are explained in simple terms.

Calculus - Differentiation - Applications of Calculus.
Given an equation - Test Yourself 1 - Solutions.


 

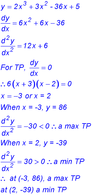
Minimum & maximum values. 1. For y = x3 - 3x2 - 9x + 1, find the coordinates of any turning points and determine their nature.

 

 

(ii) Points of inflexion.

x 0 1 2
y" -6 0 6

So a change of concavity. POI is at (1, -10).

(iii) Sketch the curve.

(iv) The minimum value of the function in the given domain is -26.

NOTE: Do NOT give the x value - it is just the minimum value of the curve!!

  2.  
  3. (i) (ii)
x -1 0 1
y" -6 0 6

So a change of concavity. Point (0, 4) is a point of inflexion.

(iii)

 

  4. (ii)
x -2 -5/3 -1
y" 2 0 -4

So a change of concavity.

Point (-5/3, 10.74) is a point of inflexion.

(iii)

 

Absolute max/mins. 5. (i)

(iii)

(iv) The minimum value for the function
is -7 and that value occurs twice
(at x = -1 and at x = 5).

 

  6.  
  7. (ii)

 

(iii) x intercept: x = -1.

y intercept: y = 4.

(iv)

(v) Maximum y value in [-2, 2] is 6.

  8. (ii) Points of inflexion when
2nd derivative = 0.

x -1 -0.5 0
y" -6 0 6

So a change of concavity.
POI is at (-0.5, 23.5).

(iii)

(iv) Maximum value in the
domain [-5, 5] is 150.

  9. (i) & (ii)
  10.

The local minimum and the absolute minimum within the domain [-2, 2] are -35 and both occur at x = -2.

The local maximum is -8 at x = 0 while the absolute maximum within the given domain is 29.

  11.

  12.
Curve increasing/decreasing 13. (ii) Sketch the graph of y = f(x) showing all its essential features including stationary points and intercepts.

(iii) For what values in the domain is the curve decreasing?

Curve is increasing for 0 ≤ x ≤ 4.

  14. (i) (ii)

 

(iii) The curve is rising when:

x < -4 and when x > 1.


Note: answers expressed as < or > NOT as≤ or ≥
as at the equalities, the gradient equals zero and so is neither rising nor falling.

  15. 16.
Concavity. 17.
 
(ii)
x -1 -1/3 0
y" 4 0 -2

Change in concavity around x = -1/3, so a point of inflection at (-1/3, 5.26)

(iii)

(iv) The curve is concave down after the POI (NOT including).

Hence x > -0.33.

  18.

 

(ii)

An unusual curve. Plot the two points and show they are max/min. Oops - they are going the wrong way.

Look back at the equation. It has a 1/x term - so it reflects a hyperbola. It cannot cross the y axis.

As x approaches 0, y approaches a big number (because of the reciprocal). As x approaches a big number, y approaches the x value (i.e. the line y = x) because the 2nd term approaches 0.

These ideas apply to both the 1st and 3rd quadrants. SO, the graph is as follows:

 

(iii) The curve is concave up for x > 0.

Point of inflexion. 19. (i)
x -1 0 1
y'' 74 0 -12

Change in concavity around x = 0 where 1st and 2nd derivatives = 0 - hence a horizontal point of inflection at (0, 6).

(ii)
x 1 4/3 2
y'' -12 0 48

Change of concavity around x = 4/3 - so a normal POI is at (4/3, -3.48).

(iii)

  20. (i)
x 1 2 3
y'' -12 0 36

The table shows a change of concavity around x = 2 where the gradient was zero - hence there is a HPOI at (2, 0).

There is also the minimum point at (-1, -27).

 

(ii)

(2, 0) has already been shown to be a HPOI.

x -1 0 1
y'' +36 0 -12

Change of concavity around (0, -16) so a POI.

(iii)

(iv)

Number of solutions. 21. (i) (ii)

(iii) To find the number of solutions, the equation for the curve can be replaced with y to obtain y + x -2 = 0 (the 0 says the two equations will meet at the same points).

Hence the number of points of intersection (ie solutions) is 2.

  22. (i) (ii)

(iii) For the function to be increasing,
-2 < x < 0 and 1 < x.

(iv) We have the intersection of two lines/curves here.

Let f(x) = 0 to represent the intersections.

Replace the quartic equation with y.

Now we have y + k = 0 so y = -k which is simply a horizontal line.

So the question reduces to "where can we draw a line which does not cut the curve"?

It is anywhere below y = -32. So k < -32.

(iv) Draw a horizontal line to cut the curve in three places. Such a line will touch the max value for y (= 0) and the higher minimum value (= -5).

So k = 0 or k = -5.